Online CalculatorMy robotic hobbies (Turkish only)  |  

 

Number Bases (radix), Numbers
And
Right Side of Mathematics

Han Erim

October 7, 2015

 

 

 

PREFACE

Right Side of Mathematics is a different comment of number bases. In this comment, number 1 of base 1 is the greatest number. The values of the number elements belonging to bases occur with respect to number/base rule.

 

Right Side number bases and numbers have been defined with this study and have won a basement.

Left Side of Mathematics

 

When we make a definition as Right Side in mathematics, naturally at first it is needed to explain what Left Side means in mathematics. Left side represents normal order of number bases that we still use. The table below represents the order of numbers in left side. Normally we handle and use the number bases and numbers as we see in this classic table.

 

 

 

 

As you know, in our daily life we use the number base 10. Number base 10 consists of 10 digits (0,1,2,3,4,5,6,7,8,9). And also, Binary (Number Base 2) and Hexadecimal (Number Base 16) are the ones that are commonly used in programming and mathematical calculations. 

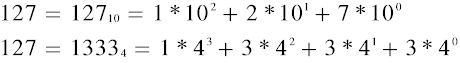
Any number can be written in any number base. For instance, writing of number "127" in some number bases is like that:

 

Binary (Base 2) 111 1111
Octal (Base 8)  177
Decimal (Base 10) 127
Hexadecimal (Base 16) 7F
Base 4 1333
Base 23 5C

 

A numbers opening rule according to its base is as below:
In the examples, opening of number 127 in bases 10 and 4 has been shown.

 

 

NUMBER BASE 1

 

Even it is not used in Left Side, for Right Side number base 1 is very important. Number base 1 is composed of one element but a second helper number is needed to express it. For this, number “0” is used. The numbers in base 1 can be shown in two formats.

 

Number Value Base 1 numbers
1st display format

2nd display format

1 1 10
2 11 100
3 111 1000
4 1111 10000

 

As seen on the table, in the first display form we write 1 back to back as the value of number. In the second display form we add 0 back to back as the value of number and we add 1 in front. 

 

In this study, both of the display forms have been used. For instance, on the main table above, in respect of suitability to the table second display form has been preferred.

 

The numbers which are the elements of a number base always have smaller values than the value of base. For instance, Number Base 2 (0,1), Number Base 6 (0,1,2,3,4,5), Number Base 16 which is called Hexadecimal consist of numbers (0,1,2,3,4,5,6,7,8,9,A,B,C,D,E,F). But due to necessity, and as an exception, in number base 1, 1 is used both in number value and base value. So; in Base 1, representation is made in such way 11 , 101, 1111 , etc. 

 

it is unpractical for mathematical calculations. But although, we can make calculations using this number base. For example, the operation 3+2=5 is like below in Base 1:

 

According to 1st display format:

 

1111+111 = 111111

 

According to 2nd display format:

 

10001 + 1001 = 1000001 

 

When base is shown in writing, it is not possible to fall into confusion about display format. 111111=1000001 

 

 

OBTAINING RIGHT SIDE NUMBER BASES

 

The comparative table below is showing the difference between Left Side number bases and Right Side number bases (The values on the table have been regulated according to the decimal system ignoring the number writing rule.).  As can be seen the Right Side numbers forms with the rule:

 

 11 = 2 * 12 = 3 * 13 = 4 * 14 = ................ = (n-1) * 1n-1 = n * 1n k

 

 

 

 

Below, we see the format prepared proper to number writing rule of the table above. Adding a geometric comment to the table, the numbers were placed vertical with respect to the values they carry.

 

 

 

All the numbers in the Right Side table stays in the length of number 11 representing the base 1.

 

 

Definition of Length of 1: 

On the Right Side number bases table, the length representing the number 11 in base 1 and at the same time showing the interval 0-1 is called the Length 1.

 

 

 

Right Side Numbers’ Location on the "Length 1" and Its Numerical Value:

 

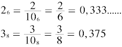
A number element at right side locates in the ratio of the value it includes on a stable point on Length 1 and number value/base measure. For instance, number 2 belonging to Base 6, at the point 0,333... of Length 1, number 3 belonging to base 8 is at the point 0.375 of Length 1. Location point value is at the same time number’s real numeric value. 

 

 

(Same number’s Left Side equivalent are in the format  26 = 2  and 38 = 3 ) 

 

On the table below we see the main characters of Left Side and Right Side numbers relatively.

 

LEFT SIDE NUMBERS RIGHT SIDE NUMBERS
11 = 12= 13 =...... = 1n-1= 1n

 

ab = ac = ad = a

 

101 < 102 < 103 <.........< 10n-1 < 10n

11 > 12 > 13 >...... > 1n-1> 1n

 

ab = a/b ,  ac = a/c  , ad = a/d

 

101 = 102= 103 =.........= 10n-1= 10n

On the table a,b,c,d,n are integers.

 

 

 

Right Side Numbers’ Fractional Notation

 

At Right Side, fractional notation format is obtained by writing own base values to the number elements’ denominator values. On the table below, we see the 2 different notation types of Right Side Number Bases as natural and fractional. On the fractional notation, on the numerator and denominator Decimal number system is used for simplicity. But additionally, suitably to the number writing rule, numbers can be shown at Right Side, too.

 

 

 

Right Side numbers’ Natural Notation: 26 , 813 , 5866 , ... 

Right Side numbers’ Fractional Notation: 2/6 , 8/13 , 58/66 , ... 

 

THE CONNECTION BETWEEN LEFT SIDE AND RIGHT SIDE

 

With the aim of creating a bridge between both of the sides, the number 11 belonging to the number base 1 at the Left Side and the number 11 belonging to the number base 1 at the Right Side are assumed to be equal to each other. Consequently, "1 Length" of Right Side is equal to number 1 at Left Side. 

 

 

 

 

 

A Number’s Left Side and Right Side Components

 

A number’s value that is equal to and bigger that 1 is Left Side component of the number and the values smaller than 1 is number’s Right Side components. 

Let’s handle any number in the form of 19,375.


The number 19 that stays at left side of the comma and which is an integer is the left side component and expressed with Left Side number bases.

1910 = 19  (Left Side)

 

The part staying at right side of the comma and smaller than 1 is the value 0,375. Now let us show that the number 0,375 is a number belonging to Right Side number bases:
For this, we show the value 0.375 in the fraction format.

0,375 = 3/8

 

Because of that, in Right Side number bases, a number’s value occurs in the format number/base, the fraction 3/8, is equating to number 3 in Right Side Base 8.

 

So, according to Right Side:  38 = 3/8 = 3/108 =0,375.

 

19,375 = 19 + 3/8 = 1910 (Left Side)+ 3/108(Right Side) 

 

19,375 = 1910 (Left Side) + 38 (Right Side)

 

 

Results:

 

A number’s value equal to and bigger than 1 is Left Side component, its value smaller than 1 is number’s Right Side component and the value of the number consists from the sums of these two components. Left Side and Right Side numbers all together include all Rational Numbers. 

 

2,3333333..... = 2 + 0,333333.... = 2 + 1/3 =  210 (Left Side) + 13 (Right Side)

8,5 = 8 + 0,5 = 8 + 1/2 = 810  (Left Side) + 12 (Right Side)

 

By its definition, irrational numbers do not have a certain solution in Right Side. In irrational numbers, numerator and the denominator in the Right Side fraction take values extending to the infinity. Because of that, we cannot write the infinite numbers, we can express the irrational numbers in an approximate formation, ending the numerator and the denominator values at a point. 

 

= 1,4142135623730......= 1 + 0,4142135623730...... ≈ 1 +  6625109/15994428 

= 110 (Left Side) +   662510915994428 (Right Side)

 

PI = 3,1415926535....= 3 + 0,1415926535.... ≈ 3 + 29629644/209259755 

PI=310 (Left Side) + 29629644209259755  (Right Side)

 

 

As a result, the numbers staying in the gap 0-1 are the Right Side numbers. The value of a number consists from sums of a component belonging to Left Side number base and a component belonging to Right Side number base. 

 

 

 

 

 

Some last sentences on Right Side Number Bases and numbers

Right side is a wide topic which should be investigated. Because of its interesting structure, I think that it is possible to create different algorithms and solutions by using right side number bases and numbers. If the mathematicians work on this topic, I think they will arrive to very interesting results.

Best result of right side mathematics for me is undoubtedly its having me arrived to my study about physics called Alice Law. 


Thanks for reading. 

 

Han Erim 

www.aliceinphysics.com

 

 

 

Copyright (C) 2011 Han Erim